EpiClone: Epidemiological Clonable Simulations
Cloned simulations of epidemiological outbreaks like COVID-19 can now rapidly evaluate millions of what-if scenarios at national and world scales, and efficiently exploit 1000s of GPUs.


Overview
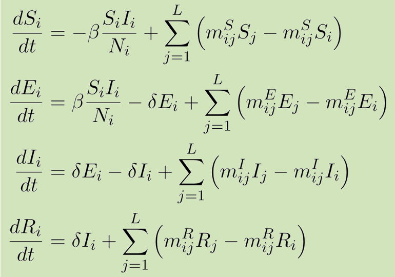
EpiClone represents the next advancements in what-if decision evaluation on state-of-the-art accelerated computing platforms including supercomputers containing thousands of GPUs.
EpiClone addresses global epidemiological outbreaks via an incremental simulation-based what-if decision tree evolution. EpiClone offers new scaling capabilities that were previously not possible before for rapidly simulating thousands or millions of epidemiological scenarios.
The EpiClone approach and results in scalable modeling and fast scenario exploration provide a leap in the analyses of epidemics and other complex systems.
Gallery
Organization
- Sponsor: Lab Directed Research and Development, Oak Ridge National Laboratory
- Period: 2015-2017
Related Publications